Dérivée covariante quantique

Nous pouvons décrire le déplacement élémentaire dX comme la somme d'une moyenne, <dx+/-> = v+/- dt, et d'une fluctuation fractale par rapport à cette moyenne, dx+/-, qui est donc par définition de moyenne nulle: <dx+/-> = 0, c.-à.-d.:

   (1)

On appellera dx la "partie classique" (différentiable) et dx la "partie fractale" (non-différentiable) des déplacements infinitésimaux. La coordonnée est une fonction fractale X = X(t, dt). Le champ de vitesse est également une fonction fractale, V = V[X(t,dt),t,dt] = v[X,t] + w[X(t,dt),t,dt], où la partie fractale w est divergente et non définie quand dt tend vers 0 (ce qui est l'expression de la non-différentiabilité des coordonnées). Ce champ de vitesse V n'est a priori pas symétrique sous la réflexion (dt  <­­>  -dt) de l'élément différentiel temporel (considéré dans ce cadre comme une variable à part entière), ce qui mène à un dédoublement fondamental (V+,V-) du champ de vitesse issu de la nondifférentiabilité.

Considérons tout d'abord la partie classique des déplacements. L'irréversibilité microscopique fondamentale de la description est maintenant apparente dans le fait que les vitesses moyennes v+ et v- sont en général différentes. Nous sommes ainsi amenés à définir deux dérivées moyennes , d+/dt et d-/dt,au lieu d'une seule classiquement. Quand elles sont appliquées au vecteur de position x, elles donnent les deux vitesses moyennes et  (parties classqiues de la vitesse totale).

En ce qui concerne les fluctuations, la généralisation à trois dimensions du comportement fractal s'écrit

   (2)

où  représente un paramètre fondamental qui caractérise la nouvelle loi d'échelle (à ce niveau simplifié de description). Les dx(t)'s sont de moyenne nulle et mutuellement indépendants. Si on les suppose être aussi Gaussiens, ce processus devient un processus de Wiener standard. Mais une telle supposition n'est pas nécessaire ici, car seule la propriété (2) sera utilisée dans les calculs. Autrement dit, le résultat final ne dépend pas de la loi de probabilité mathématique sur laquelle les moyennes stochastiques sont effectuées, si bien qu'il acquiert un statut de grande généralité.

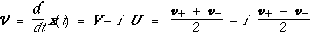
L'outil principal consiste à présent à retrouver la réversibilité temporelle microscopique à l'aide d'un nouveau processus complexe (Nottale 1993a). Pour celà, nous combinons les dérivées (+) et (-) en termes d'un opérateur de dérivation complexe

   (3)

qui, quand il est appliqué au vecteur de position, donne une vitesse complexe

  (4)

L'intérêt d'un tel choix est que, à la limite classique (  ) , la partie réelle V de la vitesse complexe  s'identifie à la vitesse classique, tandis que sa partie imaginaire, U, s'annule. Celle-ci est une nouvelle quantité provenant de la non-différentiabilité. Le dédoublement du champ de vitesse, v --> (V, U), constitue un comportement physique nouveau essentiel, dont les nombres complexes et le produit complexe ne sont qu'une représentation. Un autre type de produit aurait pu être choisi, mais on peut montrer que le produit complexe réalise la représentation la plus simple (autrement dit, covariante).

L'équation (2) permet maintenant d'obtenir une expression générale pour la dérivée temporelle complexe . Considérons une fonction f(x(t),t). Contrairement à ce qui se passe dans le cas différentiable, sa dérivée totale par rapport au temps contient des termes finis jusqu'à un ordre supérieur à 1 (Einstein, 1905). Dans le cas particulier de la dimension fractale 2, seul le second ordre intervient. En effet sa différentielle totale s'écrit

  (5)

Classiquement le terme dXi dXj  / dt  est infinitésimal, mais ici sa moyenne se réduit à <dxdxj>/dt, de sorte que le dernier terme de l'Eq. (5) se réduira à un Laplacien grâce à l'Eq. (2). Donc

    (6)

En insérant ces expressions dans (3), nous obtenons finalement la forme de l'opérateur de dérivation temporelle complexe (Nottale 1993a):

   (7)

Le passage de la mécanique classique (différentiable) à la nouvelle mécanique nondifférentiable peut maintenant être mis en oeuvre par une prescription covariante: Remplacer la dérivée temporelle standard d/dt par le nouvel opérateur de dérivation complexe . En d'autres termes, cela signifie que  joue le rôle d'une dérivée covariante  (en analogie avec la relativité générale d'Einstein où l'outil fondamental consiste à remplacer  par la dérivée covariante ).

Mais il s'agit ici d'une dérivée totale, c'est à dire d'une généralisation de la dérivée eulérienne, dans laquelle on rajoute de nouvelles contributions (parties imaginaires) conséquence de la nondifférentiabilité (alors que la dérivée covariante de la RG consiste à enlever la nouvelle contribution géométrique pour ne garder que la partie inertielle: c'est ce qui est fait avec la dérivée covariante d'échelle intervenant dans la construction géométrique des champs de jauge).

Il faut également remarquer que cet opérateur de dérivation n'est pas du premier ordre, mais est une combinaison linéaire de dérivées premières et secondes: il serait donc erroné, dans son application à un produit ou à des fonctions composées, d'utiliser la règle de Leibniz de la dérivée première.  La règle de Leibniz s'applique bien, mais il s'agit naturellement d'une combinaison linéaire des règles de Leibniz du premier et deuxième ordre (pour une formulation covariante améliorée, voir  Pissondes, Nottale).